Sometimes, the properties of massive astrophysical objects are determined by some of their smallest components: electrons. Today’s article explores an intriguing idea: what if the differences between some mysterious explosions across our universe can be explained by the behavior of electrons?

Image from the Sloan Digital Sky Survey with cross hairs pinpointing the location of AT2018cow. It is spatially coincident with the galaxy CGCG 137-068 in the constellation Hercules. [Sloan Digital Sky Survey; CC BY 4.0]
New Kid in the Universe
In 2018, a telescope searching for near-Earth asteroids witnessed a fleeting explosion nearly 100 times more luminous than a typical supernova in a galaxy 200 million light-years distant. The event — dubbed AT2018cow — was the first of a new class of phenomena called fast blue optical transients. Astronomers have yet to agree on the cause of these rare events, but many explanations center on an exploding object that expands into surrounding gas.
These mysterious new transients aren’t the only astronomical example of explosions colliding with nearby material; supernovae that emit strongly at radio wavelengths — aptly named radio supernovae — arise when an expanding shock wave plows into circumstellar gas. However, their spectra are very different from those of fast blue optical transients. Are radio supernovae and AT2018cow-like events completely unrelated, or could a common thread tie them together?
Shocking Similarities

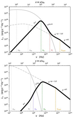
Example spectral energy distributions showing peak emission dominated by thermal electrons (top) and non-thermal electrons bottom). [Adapted from Margalit & Quataert 2021]
This suggests that seemingly disparate phenomena like radio supernovae and AT2018cow-like events could both be explained by the shock-accelerated electron model — just by tweaking a few properties of the electrons. In a new study, Ben Margalit (University of California, Berkeley) and Eliot Quataert (Princeton University) modeled the emission from a mixture of thermal and non-thermal electrons to explore how different electron behaviors affect the emission we observe.
Varied Outcomes
Margalit and Quataert found that thermal electrons are critical for modeling some — but not all! — shock waves, and whether or not thermal electrons are important is mainly determined by the speed of the shock. For example, shocks that move relatively slowly, like those seen in radio supernovae, show virtually no emission from thermal electrons. As a result, a solely non-thermal electron model can reproduce those events. For AT2018cow-like events, where the shock moves at a substantial fraction of the speed of light, including thermal electrons is critical for reproducing their spectra. The authors found that including a thermal electron component becomes necessary when modeling shocks moving faster than 20% the speed of light.

The collision of two neutron stars, illustrated here, may be a target for the authors’ model. [NASA Goddard Space Flight Center/CI Lab]
Citation
“Thermal Electrons in Mildly Relativistic Synchrotron Blast Waves,” Ben Margalit and Eliot Quataert 2021 ApJL 923 L14. doi:10.3847/2041-8213/ac3d97