Many people start to slow down as they age, and stars seem to be the same way. Astronomers measure how fast stars spin to determine their ages, but new measurements suggest that some stars may wind down more quickly than others.

Color-magnitude diagram for globular cluster M55. Stars with masses higher than the turn-off point mass have lived long enough to evolve off the main sequence. [B.J. Mochejska, J. Kaluzny (CAMK), 1-m Swope Telescope]
Assigning Ages
It’s relatively straightforward to determine the age of a star that belongs to a cluster. The age of the cluster — and the stars that comprise it — is equal to the hydrogen-burning lifetime of the stars that are just about to swerve off the main sequence and balloon into red giants.
It’s much more challenging to measure the age of an isolated star. Astronomers rely on a method called gyrochronology — measuring a star’s age from the seemingly predictable slowdown of its rotation over time.
Stellar rotation periods appear to increase with the square root of the star’s age, but recent observations have hinted that that may not be true for all stars.
Evidence from Star Clusters
A team led by Jason Lee Curtis (Columbia University) studied F, G, and K stars to determine if the slowdown rate depends on mass. They used light curves from the Kepler spacecraft to measure the rotation periods of stars in NGC 6811, an open cluster in the constellation Cygnus. Curtis and collaborators used the observed rotation periods of the F and G stars in NGC 6811 to pinpoint the cluster’s age at 1.04 billion years.

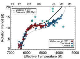
Comparison of rotation periods for stars in NGC 6811 (blue, red, and cyan symbols) to models of Praesepe at 670 million and 1 billion years old (gray and black curves). The observed stellar rotation rates begin to diverge from the expected behavior around 5,400 K. [Curtis et al. 2019]
Instead, although the rotation rates of the F and G stars from the two clusters matched neatly, NGC 6811’s lower-mass K stars were spinning faster than expected. In fact, they lined up almost perfectly with the K stars in the much younger cluster. In other words, while the F and G stars had slowed down with age, the K stars seemed to have not slowed down a bit in at least 330 million years.

Stellar ages derived from gyrochronology for NGC 6811 and the Hyades Cluster, compared to the 670-million-year-old Praesepe model. [Adapted from Curtis et al. 2019]
Why the Slow Pace?
One interpretation of this finding is that a star’s spin-down rate depends on its mass, with lower-mass stars winding down more slowly. However, the authors cautioned that it may not be that simple. Instead, they posited that stars experience a period during which their rotation rates don’t slow down — and lower-mass stars spend more time in this stalled spin-down state than higher-mass stars.
The authors aren’t sure what causes the stars to take a break from spinning down. They suggested that the stars either temporarily experience less magnetic braking or their outer layers gain angular momentum from their interiors.
Curtis and collaborators hope that studies of even older clusters, like 2.5-billion-year-old Ruprecht 147, will reveal at what point K dwarfs resume their usual spin-down and lead to a better understanding of how rotation rates can be used to determine the ages of stars.
Citation
“A Temporary Epoch of Stalled Spin-down for Low-mass Stars: Insights from NGC 6811 with Gaia and Kepler,” J. L. Curtis, M. A. Agüeros, S. T. Douglas, and S. Meibom 2019 ApJ 879 49. doi:10.3847/1538-4357/ab2393
2 Comments
Pingback: 軽い星ほど歳をごまかす?恒星の年齢と自転周期の変化に関する研究結果 | sorae:宇宙へのポータルサイト
Pingback: Daily Log (2019-08-05) - Study Astrophysics