Editor’s note: Astrobites is a graduate-student-run organization that digests astrophysical literature for undergraduate students. As part of the partnership between the AAS and astrobites, we occasionally repost astrobites content here at AAS Nova. We hope you enjoy this post from astrobites; the original can be viewed at astrobites.org.
Title: Stars Lensed by the Supermassive Black Hole in the Center of the Milky Way: Predictions for ELT, TMT, GMT, and JWST
Authors: Michał J. Michałowski and Przemek Mróz
First Author’s Institution: Adam Mickiewicz University, Poland
Status: Published in ApJ
The Milky Way Galaxy is known to host a supermassive black hole at its center. First detected as a strong radio source called Sagittarius A* (Sgr A*), we have still not seen it directly through optical telescopes. However, it made its presence known at the turn of the millennium, when astronomers caught its immense gravitational pull whirling around a number of stars in the galactic core in slingshot orbits. The motion of these “S stars” implied the presence of a central mass weighing a whopping four million times the mass of the Sun, concentrated within a sphere of radius equivalent to the Earth–Sun distance. Such a concentration of mass meant it could only be a black hole — an observation that won Andrea Ghez and Reinhard Genzel the 2020 Nobel Prize in Physics.
The coming decades will see the next generation of optical telescopes pushing our frontiers of observational astronomy. These include the successor to the Hubble Space Telescope — the James Webb Space Telescope (JWST), due for launch at the end of 2021 — and planned ground-based telescopes such as the Thirty-Meter Telescope (TMT), the Giant Magellan Telescope (GMT), and the Extremely Large Telescope (ELT). At a distance of 26,000 light-years and smaller than our solar system, the Milky Way’s supermassive black hole is impossible to detect with our current telescopes, but the authors of today’s article say detecting it with future telescopes would be elementary.
A Supermassive Black Hole Lens
Gravitational lensing occurs when a dense, massive clump of matter — the gravitational lens — distorts a distant light source either by magnifying and extending it into rings called Einstein rings, or by generating multiple copies of it. Observations of this phenomenon commonly involve a large lens, such as a galaxy cluster, lensing an extended object like a distant galaxy. Very few observations have been made of point-like stars being gravitationally lensed. This is where Sgr A*, the Milky Way’s supermassive black hole, comes into the picture.
The light coming from stars directly behind the Milky Way’s supermassive black hole can get lensed as it makes its way to Earth. This causes the resulting image to split as illustrated in Figure 1, giving rise to a second image of the same star, diametrically opposite with respect to the location of Sgr A*. This splitting is greatest for light coming from directly behind the black hole along its axis and becomes tinier for stars away from this axis. To detect these secondary images, a telescope must have high sensitivity (being able to see faint sources), and high resolution (being able to differentiate between two very close sources). The most important characteristic of the next generation of telescopes will be their enhanced sensitivity to stars that are dimmer than 24th magnitude. (The magnitude scale is flipped, with lower numbers indicating brighter stars, and each increment makes a star 2.5 times dimmer. For reference, the human eye can only see stars up to 6th magnitude in perfect conditions.)

Figure 1: An illustration of the image of a star behind a black hole getting split into two as seen by a telescope on the other side. [NASA’s Goddard Space Flight Center/CI Lab]
Prospects for Next-Generation Giant Eyes to the Skies
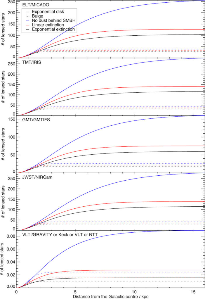
Knowing the expected sensitivity and resolution of each of the next-generation telescopes enabled the researchers to estimate the number of lensed stars they will detect. This is shown in Figure 2. The authors calculated how many stars, from just behind the black hole to the edge of the galaxy, are bright enough for their split lensed image to be visible and well-separated in five hours of observations by each telescope. The authors found that the ELT, GMT, and TMT will each be able to resolve over a hundred such lensed star images, but JWST will largely be limited by confusion, where a different star from the dense galactic core is mistaken to be the lensed image of another star. Most lensing detections will come from stars within 16,000 light-years of Sgr A*.

Figure 2: The cumulative number of lensed stars detectable by various next-generation optical telescopes is plotted here against increasing distance in kiloparsecs (kpc) behind the supermassive black hole at the center at 0 kpc. The x-axis scale is set by the radius of the Milky Way, around 15 kpc. [Michałowski & Mróz 2021]
Putting Einstein’s General Relativity Under the Lens
The observation of lensed background stars provides us with another way of studying our neighborhood supermassive black hole, but that’s not all! Not only are the lensed objects point-like, but in this case, the gravitational lens itself is point-like. This distinguishes it from previous gravitational lensing observations where the lenses comprised large-scale structures like galaxies and galaxy clusters. Mathematically, a point-like source and point-like lens gives the clearest and most complete description of gravitational lensing through Einstein’s theory of general relativity. As such, we can use observations of this phenomenon to put Einstein’s theory itself under the test! A century since its inception, general relativity has withstood tests from planetary and spacecraft orbits, binary pulsars, X-ray observations, gravitational waves, and other forms of gravitational lensing. Will it be able to hide behind a supermassive black hole?
Original astrobite edited by Huei Sears.
About the author, Sumeet Kulkarni:
I’m a third-year PhD candidate at the University of Mississippi. My research revolves around various aspects of gravitational wave astrophysics as well as noise characterization of the LIGO detectors. It involves a lot of coding, and I like to keep tapping my fingers on a keyboard even in my spare time, creating tunes instead of bugs. I run a science cafe featuring monthly public talks for the local community here in Oxford, MS, and I also love writing popular science articles. My other interests include reading, cooking, cats, and coffee.